歡迎來到江蘇氫港新能源科技有限公司網站!
0512-58588966根據定義,水分解反應是將水(H2O)分解成兩種組分(H2和O2)的反應。水分解可以通過幾種不同的方式實現。在足夠高的溫度下(~ 4000 K),水不再傾向于以分子形式存在,而是以H2和O2的形式存在。這里僅討論電化學水分解。在一般情況下使用電化學水分解就會變成:


由于H2 和O2 的標準生成焓(?H?f )和標準吉布斯自由能(?G?f )均為零,因此相關的非零量為水的標準生成焓和吉布斯自由能,分別為:

1、可逆電壓和熱中性電壓
由于?Greaction? 和?Hreaction? 的數量已經確定,因此可以確定電解池進行水分解反應的可逆電位和熱中性電位。

這個反應需要兩個電子(每個H原子一個)。已知將一摩爾H2O從左邊狀態(tài)轉化為右邊狀態(tài)所需的電能為237.1 kJ。我們只需知道一摩爾電子的電荷量Ce 和阿伏伽德羅常數NA,見下式(4):

最終 F 命名為法拉第常數。這就產生了水分解勢能,稱為可逆水分解電勢(電壓),見下式(5):

如前所述,這個反應是吸熱的,這意味著剩余的能量必須以熱的形式提供。因此,為了謹慎起見,還需要定義反應自給自足、無需從周圍環(huán)境中汲取熱量的電勢,即熱中性電勢(電壓),見下式(6):

如前所述,這是在 T = 298.15 K 和 p = 1bar 的標準條件下的情況。
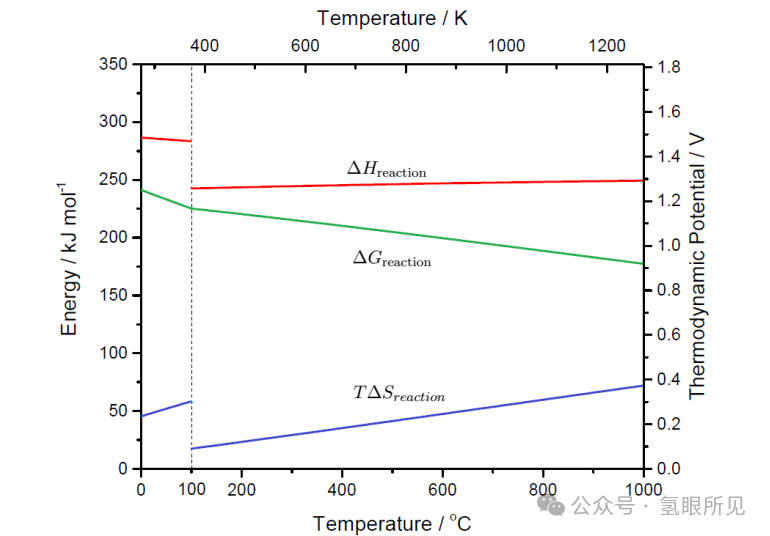
偏離T = 298.15K的標準點會改變熱力學值和用于比較不同電位的基線。由式(2)可知,溫度越高,水分解的可逆電壓越低。這是因為水分解反應的?S 從左到右都是正值,這也是分子量增加的預期方向。這導致了在下圖1中看到的EThermonneutral , Erev 和Temperature之間的關系。100?處的不連續(xù)是由該點的水相變化引起的。

圖1:在電化學水分解裝置常用的溫度范圍內,水分解反應的吉布斯自由能?Greaction、熵?Sreaction 和焓?Hreaction 的變化。
如果進一步偏離標準條件,自然會影響化學和電化學勢以及反應速率。在這一領域中,有幾組方程是有用的,即使它們在電極的設計中不會被進一步引用。
其中一個方程是描述兩個氧化還原偶之間平衡電位的 Nernst 方程,見下式(7):

其中a 是下標所描述的物種的比活度。這些活動在許多情況下都可以簡單描述的,通常可以用物質的分壓或濃度來代替。然而,由于文的大部分內容都將涉及氣泡形成的情況,因此要確定例如 KOH 水溶液中氧氣泡的比活度并非易事。在水蒸氣電解的情況下,這就比較簡單了,所有的活度都可以用它們的分壓來代替。
為了描述遠離熱力學平衡的系統(tǒng),我們求助于巴特勒-沃爾默方程。該方程(見公式 (8))將特定反應的反應速率與對其施加的過電勢聯(lián)系起來。在此,我們需要花一點時間解釋一下這些術語的含義。任何電化學反應的反應速率都比較容易測量,因為假設沒有寄生損耗,反應速率由電流決定。也就是說,假設所有產生或消耗電流的物質都是反應產生的類型,那么只需測量反應的電流 i 就能知道反應速率。此外,特定過電勢 η 被定義為反應的電勢減去可逆電勢 Erev。由此得出巴特勒-沃爾默方程
為了描述系統(tǒng)偏離熱力學平衡,我們求助于巴特勒-沃爾默方程。這個方程見式(8),表示特定反應的反應速率和施加于該反應的過電位。在這里,我們需要花點時間解釋一下這些術語的含義。任何電化學反應的反應速率都是比較容易測量的,因為假設沒有寄生損耗,反應速率由電流決定。也就是說,假設所有產生或消耗電流的物質都是反應產生的類型,那么只需測量反應的電流 i 就能知道反應速率。此外,特定過電勢 η 被定義為反應的電勢減去可逆電勢 Erev 。這就引出了巴特勒-沃爾默方程:

式中η為反應過電壓,α為電荷傳遞系數,定義為一個數,0 < α < 1。這個數字定義了反應的親和度,以一種方式或另一種方式移動,通常假設為0.5,但這并不總是一個有效的假設。在Butler-Volmer方程中,i0 是交換電流密度,它被定義為在η = 0時產生的正向和反向電流。交換電流密度通常被用作電極效率的衡量標準,可通過增加可用于反應的活性表面積來提高。

對η,求解式(9)可得:

更常用的形式是:

式中,a 和b 為前因子(前置系數),定義為:

等式(10)中顯示的是陽極極化占主導地位的情況,陰極的情況可以非常類似地表示,留給讀者作為練習。
系數2.3來自自然對數ln和以10為底的對數log10之間的轉換。這一關系常用于確定交換電流密度i0,并作為衡量電極質量的標準。如果不是在適當的條件下,在解釋這些塔菲爾斜率時必須謹慎。通常,傳輸限制會影響電流,線性情況不再有效。巴特勒-沃爾默方程有一個考慮到相對濃度的版本。
2、水分解過電位
如前所述,并通過Butler-Volmer方程式(8)舉例說明,在水分解的陰極和陽極反應中都存在過電壓。此外,可逆電壓的概念已經定義為Erev 。有了這些工具,還需要解釋過電勢的另外兩個機制,以便全面了解情況。
首先,電池內的歐姆損耗EΩ 來自陰極和陽極之間為避免短路而需要的間隙損耗。這通常來自隔膜,如隔膜或薄膜,但其他貢獻可能是電池互連,電流收集器,界面層等。所有這些損失都是歐姆損失,因此被視為一種損失。
需要解釋的第二種損失是傳輸限制,即Etransport。當反應物或生成物無法在不限制反應的情況下運入或運出反應場所時,就會出現這種損失。一個合理的假設是,這些輸運損失只有在非常高的電流下才顯著,在這種情況下,人們可能會認為傳輸是一個問題,然而對于某些設計解決方案,情況并非如此。
不同類型的損耗及其影響的一般解釋可通過過電壓與典型電流范圍的對比圖來說明。例如下圖2舉例說明了這一點:

來源:氫眼所見
注:已獲得轉載權
掃一掃,關注微信